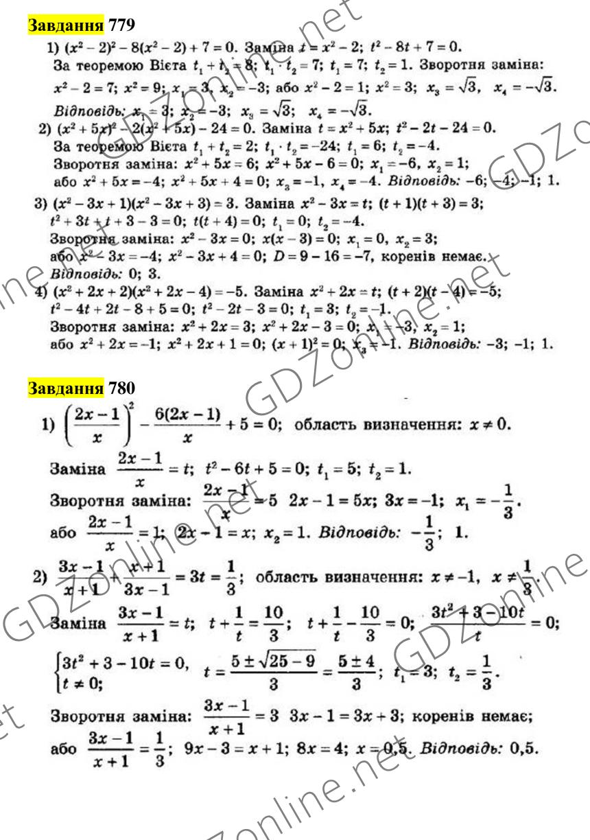
Алгебра 8 клас Мерзляк 2025 відповіді
ГДЗ з алгебри для 8 класу, автори: Мерзляк А. Г., Полонський В. Б., Якір М. С. 2025 рік Самостійні роботи. Вправи на повторення. Пояснення завдань. Завдання "Перевір себе" у тестовій формі. Готуємося до тематичного оцінювання.
Обери завдання:
Рекомендуємо подивитись
Коментарі. (61)
⇨ Останні Коментарі
Коментарі
Massi
12.04.2026 - 00:16
Hey, I was checking out gdzonline.net and noticed a few things that are likely hurting your rankings on Google. You’re missing some opportunities that could push you to page 1 faster, especially on
HH
11.04.2026 - 21:27
Чтоб тебе такому умному шутнику кабель от интернета перерезали ишак блядь
Аноним
11.04.2026 - 19:28
в вправі 1 письмо на 97 сторінці треба написати не Наталі а Сему
Станіслав
11.04.2026 - 15:54
Гдз прикольне і часто допомагає є маленькі помилки але є люди які не розуміють скільки тут докладено сил і думок, а лишень списують. Тож думайте трохи своє макітрою. P.s. дякую авторам цього гдз
