Каталог
ГДЗ  /  8 клас  /  Алгебра  /  Математика 8 клас Істер 2025


Математика 8 клас Істер 2025 відповіді

ГДЗ Математика 8 клас Істер 2025
У збірці подано докладні розв’язання всіх завдань з підручника, що допоможе:
  • перевірити правильність виконаних вправ;
  • краще зрозуміти способи розв’язання задач;
  • підготуватися до уроків, контрольних і самостійних робіт;
  • навчитися логічно мислити й самостійно аналізувати математичні задачі.

Цей ГДЗ стане надійною підтримкою під час опанування тем алгебри й геометрії у 8 класі.
Обери завдання:

1 частина

№1-3
№4-6
№7-9
№10-11
№12-13
№14-16
№17-23
№24-26
№27-29
№30-33
№34-36
№37-39
№40-44
№45-47
№48-50
№51-52
№53
№54
№58-61
№62-63
№64

2 частина

№29.1-29.5
№29.9-29.8
№29.9-29.11
№29.12
№29.13
№29.14-29.15
№29.16-29.19
№29.20-29.23
№30.1-30.8
№30.9-30.12
№30.13-30.17
№30.18-30.21
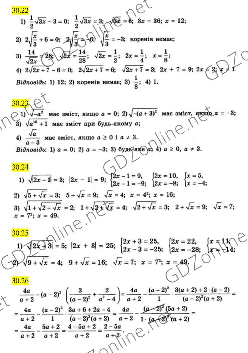
№30.22-30.26
№30.27-30.31
№30.32
№31.1-31.10
№31.11-31.16
№31.17-31.23
№31.24-31.27
№31.28-31.29
№32.1-32.5

№65
№66
№67-68
№69
№70
№71-72
№73
№74
№75
№76
№77-78
№79-80
№1.1-1.5
№1.6-1.9
№1.10-1.13
№1.14-1.15
№1.16-1.18
№1.19-1.21
№1.22-1.27
№1.28-1.30
№2.1-2.4
№2.5-2.9
№2.10-2.12
№2.13-2.15
№2.16-2.17
№2.18-2.20
№2.21-2.23
№2.24-2.25
№2.26-2.29
№2.30-2.31
№3.1-3.4
№3.5-3.7
№3.8-3.10
№3.11-3.13
№3.14-3.16
№3.17-3.19
№3.20-3.22
№3.23-3.27
№3.28
№4.1-4.5
№4.6-4.8
№4.9-4.11
№4.12-4.14
№4.15-4.17
№4.18-4.20
№4.21-4.22
№4.23-4.25
№4.26-4.27
№4.28-4.29
№4.30-4.32
№4.34-4.35
№4.36-4.38
№4.36-4.38
№4.39-4.41
№4.42-4.43
№4.44-4.46
№4.47-4.50
Самостійна №1
Для перевірки до §1-4
Для перевірки до §1-4
Повторення теми 1 №1-4
№5-7
№8-11
№12-15
№16-19
№20-22
№23-25
№26-29
№30-31
№32-33
№33
№34-35
№36
№37
Повторюємо геометрію 7 клас №1-2
№3-4
№5-6
№7-9
№10-11
№12-13
№14-15
№16
№17-18
№19
№20
№21-24
№25-29
№30-32
№33-34
№35-38
№39-40
№41
№42-44
№45-47
№48
№49-51
№52-53
№54-55
№56-58
№59-61
№62-63
№64-65
№66
№67
№5.1-5.7
№5.8-5.15
№5.16-5.19
№5.20-5.23
№5.24-5.26
№5.27-5.29
№5.30-5.34
№6.1-6.9
№6.9-6.10
№6.11-6.14
№6.15-6.18
№6.19-6.21
№6.22-6.24
№6.25-6.27
№6.28-6.31
№6.32-6.34
№6.35-6.36
№6.38-6.42
№6.43-6.44
№7.1-7.8
№7.9-7.12
№7.13-7.16
№7.17-7.19
№7.20-7.23
№7.24-7.26
№7.27-7.28
№7.29-7.32
№7.33-7.35
№7.36
№8.1-8.13
№8.14-8.18
№8.19-8.22
№8.23-8.25
№8.26-8.28
№8.29-8.32
№8.33-8.34
№8.35-8.37
№8.38-8.40
№8.41-8.42
№9.1-9.6
№9.7-9.12
№9.13-9.16
№9.17-9.18
№9.19-9.21
№9.22-9.24
№9.25-9.27
№9.28-9.31
№9.32-9.33
Самостійна №2
Самостійна №2
Самостійна №2
Для перевірки §5-9
Для перевірки §5-9
Для перевірки §5-9
Повторення теми 2 №1-5
№6-9
№10-13
№14-16
№17-18
№19-21
№22
№22-24
№25-26
№27-31
№32-34
№35-37
№38-40
№41
№10.1-10.4
№10.5-10.6
№10.7-10.9
№10.10-10.11
№10.12-10.14
№10.15-10.18
№10.19-10.22
№10.23-10.25
№10.26-10.27
№10.28-10.30
№10.31-10.33
№11.1-11.3
№11.4-11.6
№11.7-11.8
№11.9-11.10
№11.11-11.12
№11.13-11.14
№11.15-11.16
№11.17-11.19
№11.20-11.23
№11.24-11.26
№12.1-12.3
№12.4-12.5
№12.6-12.7
№12.8-12.9
№12.10
№12.11-12.12
№12.13-12.14
№12.15
№12.16
№12.17
№12.18-12.19
№12.20-12.21
№12.21
№12.22
№12.23-12.24
№12.25-12.27
№12.27-12.28
№12.29-12.31
№12.32-12.34
№12.35-12.37
№12.38-12.40
№13.1-13.4
№13.5-13.7
№13.8-13.9
№13.10-13.11
№13.12
№13.13-13.15
№13.16-13.18
№13.19
№13.20
№13.21-13.22
№13.23-13.24
№13.25-13.27
№13.28-13.31
№13.32-13.34
Самостійна №3
Самостійна №3
Для перевірки §10-13
Для перевірки §10-13
Повторення теми 3 №1-3
№4-6
№8-9
№10-12
№13-15
№16-17
№18-19
№20-21
№22
№23-24
№25-26
№27-28
№29-31
№32
№33-34
№35-36
№14.1-14.7
№14.8-14.12
№14.13-14.17
№14.18-14.22
№14.23-14.26
№14.27-14.30
№14.31-14.33
№14.34-14.35
№14.36-14.37
№14.38-14.40
№14.41-14.44
№15.1-15.8
№15.9-15.11
№15.12-15.13
№15.14-15.16
№15.17
№16.1-16.6
№16.7-16.9
№16.10-16.12
№16.13-16.15
№16.16-16.17
№16.18
№17.1-17.8
№17.9-17.12
№17.13-17.16
№17.17-17.19
№17.20-17.22
№17.23-17.25
№17.26-17.28
№17.29-17.31
№18.1-18.7
№18.8-18.10
№18.11-18.13
№18.14-18.16
№18.17-18.20
№18.21-18.23
№18.24-18.27
№18.28-18.31
№18.32
Самостійна №4
Самостійна №4
Самостійна №4
Для перевірки §14-18
Для перевірки §14-18
Для перевірки §14-18
Повторення теми 4 №1-5
№6-8
№9-10
№11-13
№14-18
№19-20
№21-23
№24-28
№29-32
№33-36
№37-39
№40-42
№43
№19.1-19.5
№19.6-19.7
№19.8-19.13
№19.14
№19.15-19.19
№19.20-19.23
№19.24-19.27
№19.28-19.33
№19.34
№20.1-20.9
№20.10-20.12
№20.13-20.16
№20.17-20.20
№20.21-20.23
№20.24-20.28
№20.29-20.31
№20.32-20.35
№20.36-20.38
№21.1-21.7
№21.8-21.14
№21.15-21.23
№21.24-21.30
№21.31-21.34
№21.35
№21.36-21.38
№22.1-22.5
№22.6-22.8
№22.9-22.10
№22.11-22.13
№22.14
№22.15-22.17
№22.18
№22.18-22.19
№22.19
№22.20
№22.20
№22.21
№22.22
№22.23
№22.24-22.26
№22.27-22.29
Самостійна №5
Для перевірки §19-22
Для перевірки §19-22
Для перевірки §19-22
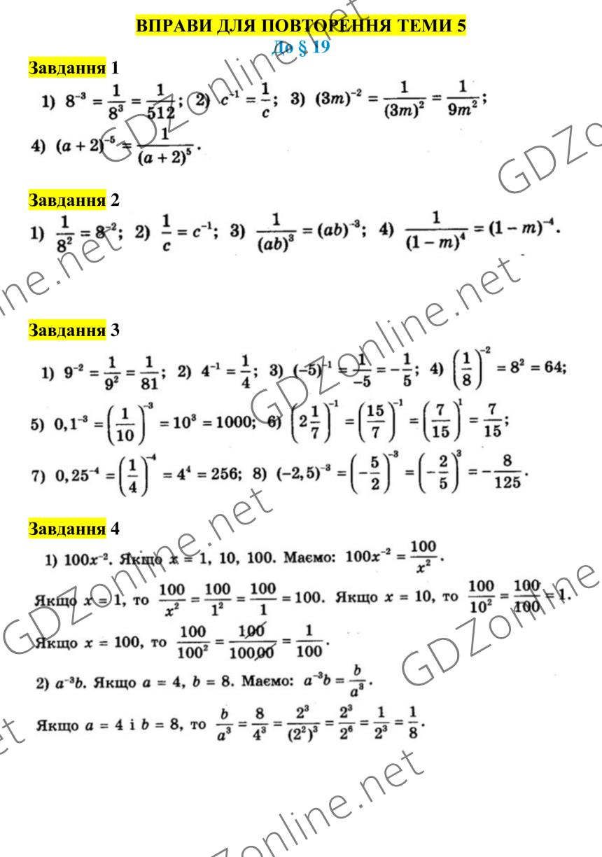
Повторення теми 5 №1-4
№5-9
№10-14
№15-19
№20-26
№27-29
№30-33
№34
№23.1-23.7
№23.8-23.10
№23.11-23.13
№23.14-23.16
№23.17-23.19
№23.20
№24.1-24.7
№24.8-24.10
№24.11-24.13
№24.14-24.17
№24.18
№25.1-25.5
№25.6-25.9
№25.10-25.12
№25.13-25.16
№25.17-25.19
№25.20-25.21
№25.22-25.23
№25.24-25.27
№25.28-25.30
№25.31-25.33
№25.34-25.36
№25.37-25.39
№25.40-25.43
№25.44-25.46
№25.47-25.50
№25.51-25.
№26.1-26.7
№26.8-26.11
№26.12-26.15
№26.16-26.19
№26.20-26.22
№26.23-26.26
№26.27
№27.1-27.7
№27.8-27.10
№27.11-27.13
№27.14-27.16
№27.17-27.18
№28.1-28.6
№28.7-28.10
№28.11-28.15
№28.16-28.18
№28.19-28.21
№28.22-28.23
№28.24-28.25
№28.26-28.28
№28.29
Самостійна №6
Самостійна №6
Самостійна №6
Самостійна №6
Для перевірки §23-18
Для перевірки §23-18
Для перевірки §23-18
Повторення теми 6 №1-4
№5-8
№9-12
№13-15
№16-19
№20-23
№24-26
№27-29
№30-32
№33-35
№36-39
№40
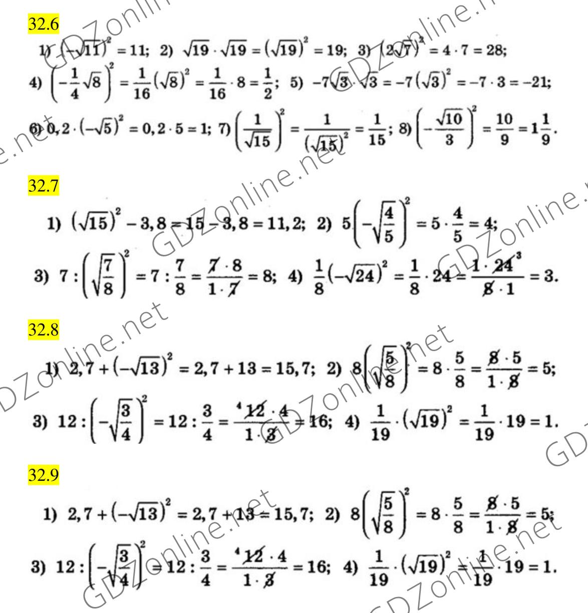
№32.6-32.9
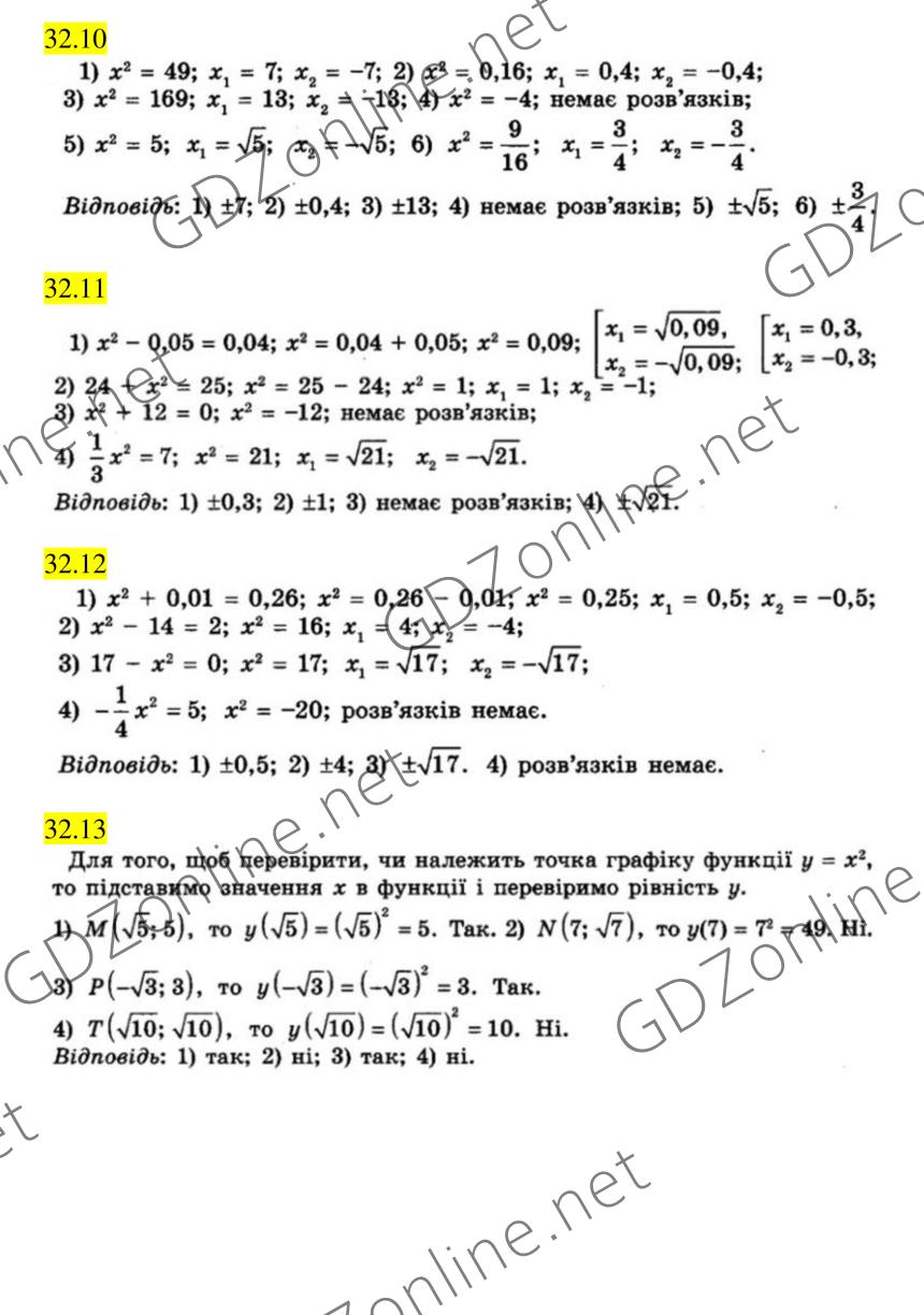
№32.10-32.13
№32.14-32.16
№32.17-32.18
№32.19-32.21
№32.22-32.25
№32.26-32.30
№32.31-32.32
№33.1-33.5
№33.6-33.7
№33.8-33.12
№33.13-33.15
№33.16-33.20
№33.21-33.23
№33.24-33.26
№33.27
№33.28-33.30
№33.31-33.33
№33.34-33.37
№33.38-33.39
№33.40-33.43
№33.44-33.45
№34.1-34.5
№34.6-34.8
№34.9-34.11
№34.12-34.15
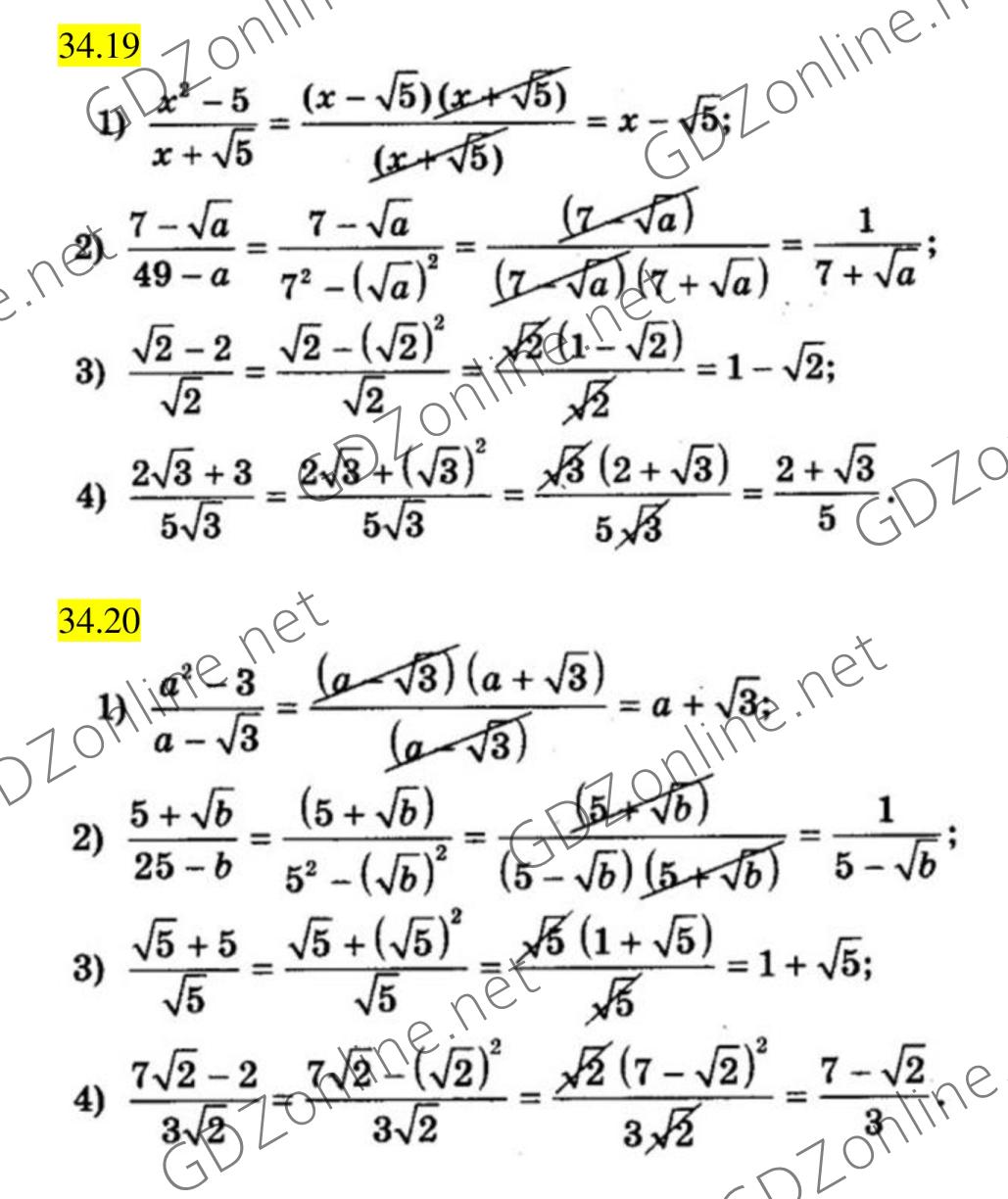
№34.16-34.18
№34.19-34.20
№34.21-34.24
№34.25-34.28
№34.29-34.32
№34.33
№34.34
№34.35
№34.36-34.37
№34.38-34.40
№34.41-34.42
№34.43-34.44
№35.1-35.5
№35.6-35.11
№35.12-35.13
№35.14
№35.15-35.17
№35.18-35.20
Самостійна №7
Для перевірки §29-35
Для перевірки §29-35
Повторення теми 7 №1-5
№6-7
№8-12
№13-17
№18-21
№22-26
№27-31
№32-35
№36-39
№40-42
№43-45
№46-48
№49-51
№52-54
№55-56
№36.1-36.7
№36.8-36.12
№36.13-36.16
№36.17-36.20
№36.21-36.25
№36.26-36.29
№36.30-36.32
№36.32-36.34
№36.35-36.38
№36.39-36.41
№36.42-36.45
№36.46-36.48
№36.49-36.50
№36.51-36.53
№36.54-36.57
№36.58-36.59
№37.1-37.5
№37.6-37.9
№37.10-37.12
№37.13-37.14
№37.15-37.18
№37.19-37.21
№37.22-37.24
№37.25-37.27
№37.28-37.29
№38.1-38.6
№38.7-38.10
№38.11-38.13
№38.14-38.18
№38.19
№38.20
№38.21-38.24
№38.25-38.28
№38.29-38.31
№38.32-38.34
№38.35-38.37
№38.38
№38.39
№38.40-38.41
№38.42-38.44
№38.45-38.46
№39.1-39.2
№39.2-39.3
№39.4-39.5
№39.6-39.10
№39.11
№39.12
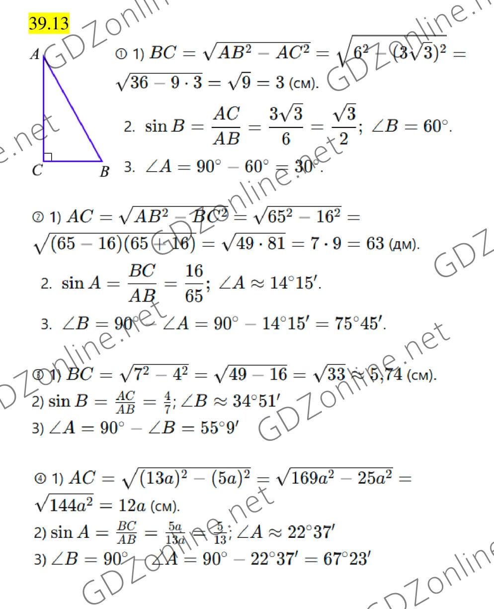
№39.13
№39.14-39.15
№39.16-39.19
№39.20-39.23
Самостійна №8
Самостійна №8
Самостійна №8
Для перевірки §36-39
Для перевірки §36-39
Для перевірки §36-39
Повторення теми 8 №1-5
№6-8
№9-11
№12-14
№15-18
№19-22
№23-26
№27-28
№29
№30
№31-32
№33
№34
№40.1-40.6
№40.7-40.8
№40.9-40.10
№40.11-40.12
№40.13-40.16
№40.17-40.19
№40.20-40.22
№40.23-40.24
№40.25-40.26
№40.27-40.29
№40.30-40.32
№40.33
№41.1-41.5
№41.6
№41.7
№41.8
№41.9-41.10
№41.11-41.12
№41.13-41.14
№41.15-41.16
№41.17-41.18
№41.18
№41.19
№41.19-41.21
№41.22-41.25
№41.26-41.27
№41.28
№42.1-42.3
№42.4-42.5
№42.6-42.8
№42.9
№42.10-42.11
№42.12-42.13
№42.14-42.17
№42.18-42.19
№42.20
№42.21-42.23
№42.24-42.26
№42.27-42.29
№43.1-43.4
№43.5-43.7
№43.8-43.10
№43.11-43.13
№43.14-43.16
№43.17-43.20
№43.21-43.23
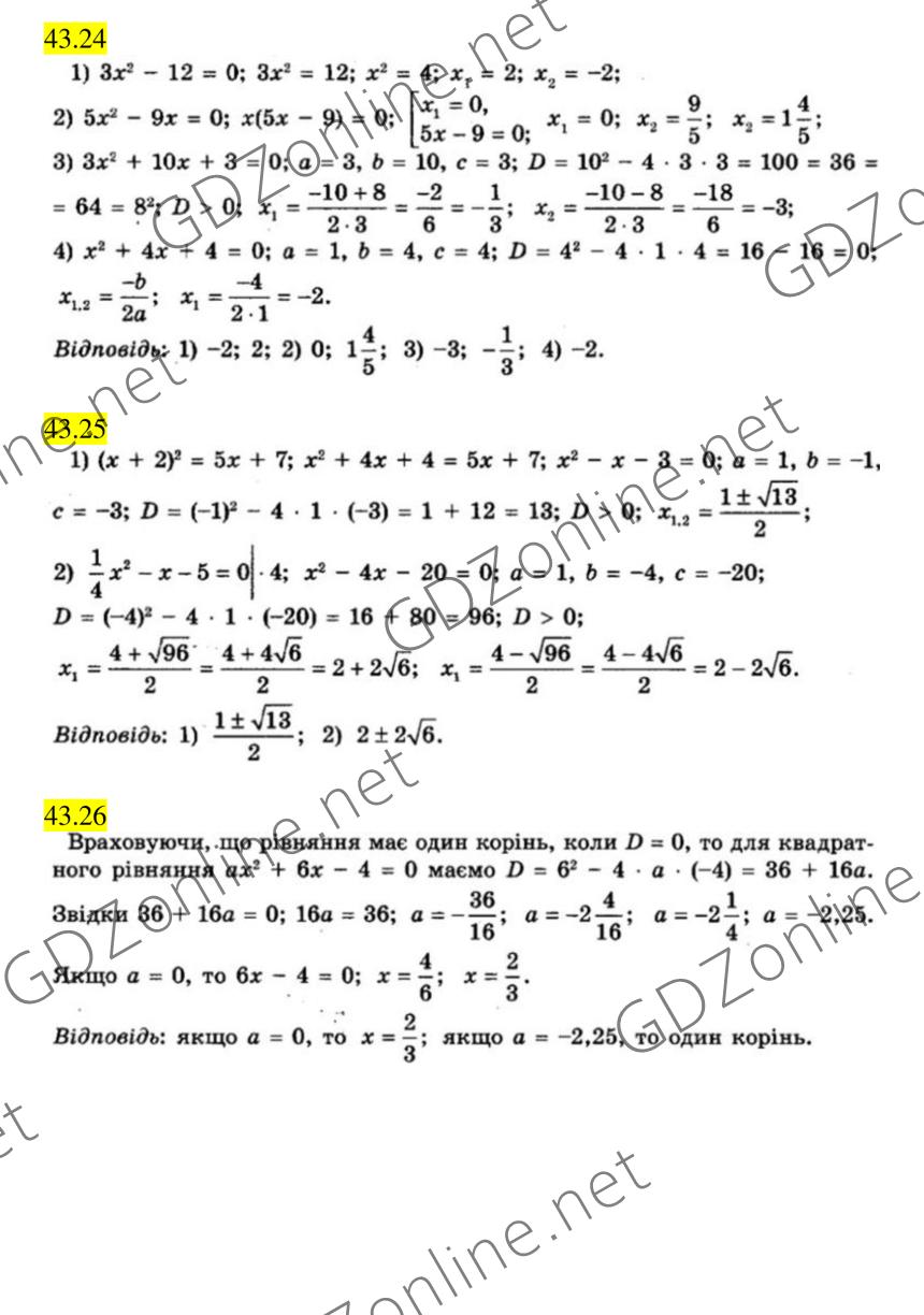
№43.24-43.26
№43.27-43.28
Самостійна №9
Самостійна №9
Самостійна №9
Для перевірки §40-43
Для перевірки §40-43
Повторення теми 9 №1-4
№5-8
№9-10
№11-12
№13-15
№16-17
№18-22
№23-26
№27-29
№30-32
№44.1-44.5
№44.6-44.14
№44.15-44.20
№44.21-44.24
№44.25-44.28
№44.29-44.34
№45.1-45.13
№45.14-45.17
№45.18-45.21
№45.22-45.27
№45.28-45.31
№45.32-45.36
№45.37-45.39
№45.40
№46.1-46.9
№46.10-46.13
№46.14-46.17
№46.18-46.21
№46.22-46.25
№46.26-46.27
№47.1-47.10
№47.11-47.13
№47.14-47.17
№47.18-47.20
№47.21-47.24
№47.25-47.26
№47.27-47.29
№47.30-47.32
№47.33-47.34
№48.1-48.9
№48.10-48.14
№48.15-48.18
№48.19-48.20
№48.21-48.23
№48.24-48.26
№48.27
№48.28-48.29
№48.30-48.33
№48.34-48.37
Самостійна №10
Самостійна №10
Самостійна №10
Для перевірки §44-48
Для перевірки §44-48
Повторення теми 10 №1-4
№5-7
№8-11
№12-15
№16-19
№20-22
№23-25
№26-27
№28-31
№32-34
№49.1-49.5
№49.6-49.8
№49.9
№49.10-49.11
№49.12-49.15
№49.16-49.19
№49.20-49.22
№49.23
№49.24-49.25
№49.26
№49.27-49.29
№49.30-49.32
№49.33
№49.34-49.35
№49.36-49.38
№49.39-49.42
№50.1-50.3
№50.4
№50.4-50.5
№50.6-50.7
№50.8
№50.9
№50.10
№50.11-50.12
№50.13
№50.14
№50.15
№50.16
№50.17
№50.18
№50.19
№50.19
№50.20
№50.20
№50.21-50.22
№50.23-50.24
№50.25
№50.26
№50.27-50.28
№50.29
№50.30
№50.31
№50.32-50.34
№50.35-50.37
№51.1-51.2
№51.3
№51.4-51.5
№51.6-51.7
№51.8
№51.9-51.10
№51.11
№51.12
№51.13
№51.14
№51.15-51.16
№51.17-51.18
№51.19
№51.20
№51.21
№51.22-51.23
№51.24-51.25
№51.26-51.27
Самостійна №11
Самостійна №11
Для перевірки §49-51
Для перевірки §49-51
Для перевірки §49-51
Повторення теми 11 №1-4
№5
№6-7
№8-9
№10-12
№13
№14-16
№17
№17
№18
№19-20
№21
№22
№22
№22
№23
№24-25
№26-27
№28-29
№30-31
№32-33
№34-35
Для перевірки за курс №1-5
№6-8
№9
Підвищеної складності №1-3
№3
№3
№4
№4
№5
№6-8
№9-10
№11-12
№13-14
№15-17
№18-19
№20-21
№22
№23-24
№25-28
№29
№30-32
№33-34
№35-36
№37
№38
№39
№40-42
№43-44
№44
№45
№46-47
№48
№49
№50-51
№52
№53
№53
№54-55
№56
№57
Підвищеної складності з геометрії №1-3
№4
№5
№6-8
№9-11
№12-14
№15-16
№17-18
№19-20
№21
№22-24
№25-27
№28-30
№31
№32-33
№34
№35-36
№37-38
№39-40
№41-42

Коментарі. (4)
Натисніть на зображення, щоб оновити код, якщо він нерозбірливий
  1. 2

    ГДЗ просто💋💋💋💋💋💋💋💋💋😘😘😘😘😘😚😚😚😚😘😘😚😚😘😘😚


  2. 3

    а где собственно говоря гдз?

  3. 8

    ГДЗ ну просто пушка

  4. 4

    Супер супер спасибо 

⇨ Останні Коментарі
Коментарі
анонім
анонім 13.05.2026 - 21:11
немає 1312 номеру
Я
Я 13.05.2026 - 19:43
а де сторінка 180?
Дарина
Дарина 13.05.2026 - 19:17
Тут на сторінці 181 зовсім інші завдання. Ні як у підручнику. Ніби то просто пропустили один параграф 
... анонім ...
... анонім ... 13.05.2026 - 18:51
хахахха  . .
Олена Миколаївна Панасівна
Олена Миколаївна Панасівна 13.05.2026 - 17:40
Вам не стидно? Майбутнє нашої держави, а ви списуєте!, позор....